Speed of Longitudinal Waves in Gases

Contents:

  1. Newton’s Formula of speed of sound in gases.
  2. Laplace’s Correction.
  3. Dependence of speed of sound on temperature (in gases).
  4. Numerical Problems
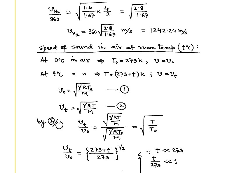
  5. Speed of sound at room temperature.

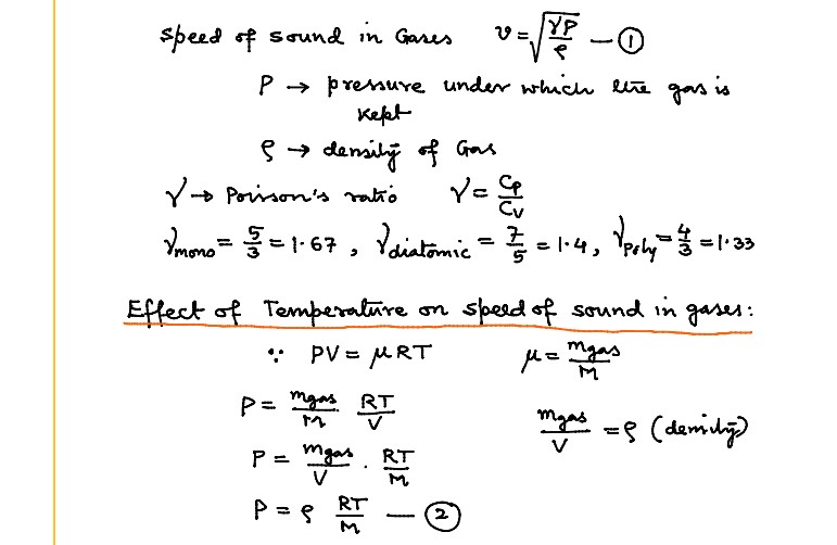
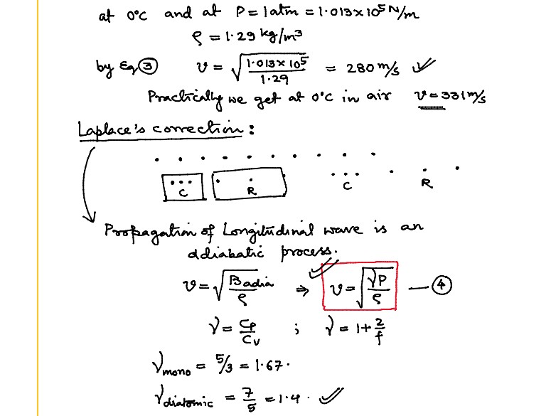
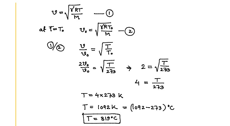
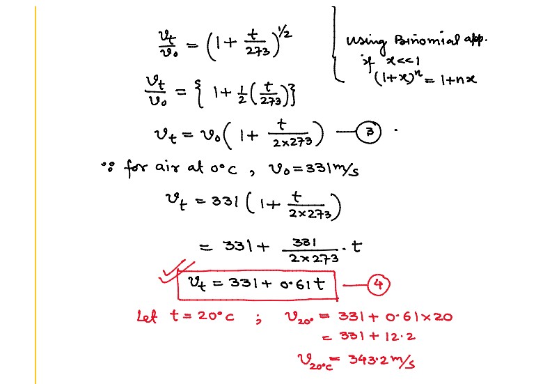
Lecture Notes

Speed of Longitudinal Waves 2.
Speed of Longitudinal Waves 4
Speed of Longitudinal Waves 5

Explanation of Laplace’s Correction (Extra)

Effect of Temperature, pressure, density, humidity etc. on speed of sound

Lecture Notes

Speed of Longitudinal Wave in Gases 2
Speed of Longitudinal Wave in Gases 3
Speed of Longitudinal Wave in Gases 4
Speed of Longitudinal Wave in Gases 5

Leave a Comment

error: Content is protected !!